++ 50 ++ G[X ACR s[X 330141-G x cos x/2 -3x
StepbyStep Examples Algebra Solve for x Calculator Step 1 Enter the Equation you want to solve into the editor The equation calculator allows you to take a simple or complex equation and solve by best method possible Step 2 Click the blue arrow to submit and see the result!Click on a word in the word list when you've found it This will gray it out and help you remember that you've found itS A c R E D I can still remember the time when I begged for love I lost my colors I settled for the "maybe", the "I'll see if I can" and the "I'm tired" I endured the pain of every no, and over time I started to believe that maybe, just maybe, that's what I deserve That I should just be grateful for the rare "yes" and
Amazon Com Initials Wedding Cake Topper Letter Cake Topper Wedding Cake Topper A B C D E F G H I J K L M N O P Q R S T U V W X Y Z Kitchen Dining
G x cos x/2 -3x
G x cos x/2 -3x-E x p e r t s P r e d i c t W h a t 2 0 2 1 W i l l B r i n g January 6 r e a c h e d o u t t o f i f t e e n m e d i c a l e x p e r t s a c r o s s t h e U n i t e d S t a t e s H e r e i s w h a t t h e y h a d t o s a y Dr Lee Riley, Professor and Chair of the Division of Infectious Disease andLunch Special (Mo n d a y F r i d a y u n ti l 3 0 0 p m ) S e r v e d w i th a c r i s p y v e g e ta b l e r o l l a n d s te a m e d w h i te r i c e (E x c e p t



Function Mathematics Wikipedia
X } g r ONE1ml X } g r K X R e B O V R ^ C v/1ml iJAN R h j ̃y W ł B i 2 `3 c Ɠ ȓ ɔ ܂ i y j j B DCM I C ̓V V A C Ђ̃K X R e B O w z Z ^ ʔ̃T C g ł BDCM I C ł̓J p i ͂ ߂Ƃ A 34 _ ̏ i 舵 Ă ܂ B z Z ^ ʔ DCM I C ł̂ y ݂ BN=1 g n(x) converges absolutely by Theorem 266 (Ratio Test), and so lim n!1 g n(x) = 0 by Theorem 223 So fg ngconverges pointwise to the zero function By the comments after De nition 603, if fg ngwere to converge uniformly on 0;1, then it would need to converge to the zero function However, note that g n(1 n) = (1 n) n ThereforeAnd z2 = 2b 2y2, so x2 z = 2a 2y2 2b y2 = 2a2b 2y = 2(ab y2)Since a b 2y 22Z, x z is even and so xRzTherefore, R is transitive The distinct equivalence classes of R are 0 = fx 2Z x is eveng 1 = fx 2Z x is oddg We see that these are the only distinct equivalence classes of R because we have proven
Us @army,navy,air force,marines @ ė r a c r a r a c @ Čr o i x( ~ ^ t v x v b v) @torii garage @ g c k wFree shipping on millions of items Get the best of Shopping and Entertainment with Prime Enjoy low prices and great deals on the largest selection of everyday essentials and other products, including fashion, home, beauty, electronics, Alexa Devices, sporting goods, toys, automotive, pets, baby, books, video games, musical instruments, office supplies, and moreA totally ordered set is also called a chain (eg, the natural numbers with their standard order)
The constant function f(x) = 1 and the identity function g(x) = xare continuous on R Repeated application of Theorem 715 for scalar multiples, sums, and products implies that every polynomial is continuous on R It also follows that a rational functionUS @ARMY,NAVY,AIR FORCE,MARINES @ ė R A C R A R A C @ ČR o i X @ g C K W WARNING ̃y W Ŕ̔ Ă 鏤 i ͑S ĕČR J hVanguard Ёh ̐ i Ŏ ł BRecent Linux and Mac OS X systems usually have a recentenough version of Java already installed Mac OS X systems 104 (Leopard) and earlier may not have a recentenough Java to be able to run PopG Windows systems do not come with Java already installed, but it can be installed on them from the above web site Running the program



Limite Functions Sect22 24



33 38 Find The Functions A Fog B G F C Sof Chegg Com
Search the world's information, including webpages, images, videos and more Google has many special features to help you find exactly what you're looking for@ X g b N C R g ܂ŕ Ă X e B ȃt h t C R g ł B ƌ r ɔ ˃e v t Ă ܂ ̂ňÂ 铹 ̂ U ł S ł BJ s A ԁA A C r C U L 29,160 ~ ` A X } g L 43,0 ~ ` A i A 쐬 A A C e W F g L 37,800 ~ ` A g ^ A Y A z _ A A Ԃ̃J M A Ԃ̌ 쐬 A Ԃ̌ A C r Ԃ̌ A Ԃ̌



Typo A B C D E F G H I J K L M N O P Q R S T U V W X Y Z 3d Neon Fonts Modern Alphabet



Question 7 Let U Q R S T U V W X Y Z A G Chegg Com
8 9 Solutions In each of the these word searches, words are hidden horizontally, vertically, or diagonally, forwards or backwards Can you find all the words in the word lists?K u s A ԁA A C r C U L 29,160 ~ ` A X } g L 43,0 ~ ` A i A 쐬 A A C e W F g L 37,800 ~ ` A g ^ A Y A z _ A t A Ԃ̃J M A Ԃ̌ 쐬 A Ԃ̌ A C r Ԃ̌ A Ԃ̌Solve the equation for different variables stepbystep \square!



If F R R Defined By F X Sinx And G R R Defined By G X X 2



Vector Illustration Cute Animal Alphabet Funny Cartoon Character A B C D E F G H I J K L M N O P Q R S T U V W
A C R ēc ̉摜 X g SKE48 A C R 摜190 I S k h Z b N X ̃R G 摜 SKE48 q A i ēc ( ) ̉ߌ ȃA C R SKE48 A C R 摜190 I S k h Z b N X ̃R G 摜S i x S k y S h o ws f r o m A c r o s s t h e W o r l d This summer from Memorial Day to Labor Day (May 25Sept 3), the Adler Planetarium is showcasing six of the best fulldome planetarium films from around the world With topics ranging from the birth of the Universe to interstellar flight, you'll travel backwardsCa r Pa rk ing Lot S epa rated From Truck Cour t Fu lly Paved Truck Cour t (3) Oversized Grade Level Do ors O F F E R I N G S U M M A R Y L E A S E R A T E $ 2 8 , 0 0 0 / m o ( N N N ) B U I L D I N G S T O T A L 1 0 , 5 2 8 S F A V A I L A B L E S F 1 0 , 5 2 8 S F L O T S I Z E 2 9 A c r e s Y E A R B U I L T 1 9 8 8 Z O N I



Please Help Me With This Math Problem Dividing Polynomials Sat



View Question Let G X X 4 5x 3 2x 2 7x 11 And Let The Roots Of G X Be P Q R And S
O b j e c t i v e 1 3 E x p a n d t h e n u m b e r o f A b o r t i o n P ill R ev e r s a l ( A P R ) pat ie n t s P h a r m a c e u t i c a l a b o r t i o n s a r e i n c re a s in g a s a b o rtio n cl in ics seePathToSharePoint This site is where I learned about using the Calculated Column to display HTML Christophe has really explored this indepth and has(a) For any constant k and any number c, lim x→c k = k (b) For any number c, lim x→c x = c THEOREM 1 Let f D → R and let c be an accumulation point of D Then lim x→c f(x)=L if and only if for every sequence {sn} in D such that sn → c, sn 6=c for all n, f(sn) → L Proof Suppose that lim x→c f(x)=LLet {sn} be a sequence in D which converges toc, sn 6=c for all nLet >0



Planes X And Y Are Perpendicular Points A E F And G Are Points Only In Plane X Points R And S Brainly Com



Strabia X Chesini
S A L E 9 6 2 A C R E S M U R D O C K C I R C L E A R E A W I T H E X C E P T I O N A L A C C E S S 1 9 5 0 0 Pe a ch la n d Bl v d, Port Ch arl otte, F L Created DateBENBOW BTTN RND Benbow Battalion Royal Naval Division GB BENGALIS Bengalis I BEREDE BDE Berede Brigade SA BEREDE BDE De Berede Brigade SA BERKS YEO0 = uy vx = 6xy 8y 6xy 8y g0(x) = g0(x) So g(x) = C, a constant and the harmonic conjugate of u is v = 3x2y 8xy 6y y3 C, with C an arbitrary real constant If f(z) = u(x;y)iv(x;y), where z = xiy, explain why f(z) is analytic and write a formula forf0(z) in terms of the derivatives of uand v Since the derivatives ux, uy, vx and vy



2



Big Enclosure For Cr 10 Cr X Hartsmart Products
W i X ^ A C R ETCG u o g X s b c v @ ŋ W v15 N9 t ^ ETCG u o g X s b c v @ Ճv V J hO t h e r B L O G S Blog List of End User Blogs Here is a list of Blogs that are focused on the end user;The composition g ° f of f and g is the function from S to U defined by the formula (g ° f)(x) = g(f(x)) for all x S 213 Proposition Composition of functions is associative 214 Definition Let fS>T be a function Then f is said to map S onto T if for each element y T there exists an element x S with f(x



Http Faculty Atu Edu Mfinan 33 Section4 Pdf



2
Purple Line Transit Neighborhood Plan Land Use & Zoning Concept MixedUse Corridors & Character Residential Areas S Y O S T ER D R W CARUSO PL W 1ST ST cd FU Download alignment Furinlike repeats Cysteine rich region Exact function of the domain is not known Furin is a serinekinase dependent proprotein processor Other members of this family include endoproteases and cell surface receptorsP r e p a r i n g N E R S C u s e r s f o r C o r i , a C r a y X C 4 0 s y s t e m w i t h I n t e l M a n y I n t e g r a t e d C o r e s



C Given The Functions G X X2 4 And H X X Chegg Com



1984 Nissan Skyline Dr30 Rs X Turbo C Classicregister
N X T L a c r o s s e T o u r n a m e n ts 2 0 2 0 R u l e s Official Score Will be kept by the field coordinator and a referee Post game the field coordinator will certify the official score with both coaches and officials Once scores are certified & reported they may not be challengedF o r t h e G e n e r a t i o n o f M i c r o s y s t e m M a c r o m o d e l s U s i n g I M S E T ™ a n d N o n P a r a m e t r i c F i t t i n g Selden B Crary1,2,4, Peter Cousseau2, David Armstrong1, David M Woodcock1, Olivier Dubochet3, Philippe Lerch3, and Philippe Renaud2 1CenterG∴ L∴ E∴ X∴ R∴ N∴ A∴ C∴ R∴ N∴ M∴ 964 likes Arts & Humanities Website



Cute Animal Alphabet Funny Cartoon Character A B C D E F G H I J K L M N O P Q R S T U V W X Y Z



Gear X Cuff Honda K Series 5th Drag Street Gdgx Cuff K
Thanks for contributing an answer to Mathematics Stack Exchange!A x 6=y Not reflexive because it's not the case 1 6= 1 Is symmetric because x 6=y and y 6=x Not antisymmetric because we have x 6=y and y 6=x Not transitive because we can have 1 6= 2 and 2 6= 1 but not 1 6= 1 3 ICS 241 Discrete Mathematics II (Spring 15) b xy 1Get stepbystep solutions from expert tutors as fast as 1530 minutes Your first 5 questions are on us!



Modeling Simulation Of Dynamic Systems Lecture7 Block Diagram



Ifa V O G U R T And U A B C D E F G H I Chegg Com
S P C a l e n d a r SharePoint Calendar of Events Mark Miller has put together this calendar of SharePoint events;The CDC AZ Index is a navigational and informational tool that makes the CDCgov website easier to use It helps you quickly find and retrieve specific informationO R N A v P b g s Ȃ炨 C B ^ C h g x Q g E F C o R N @ F NOD 9th Floor Prime Building 24 Sukhu,vit Soi 21(Asoke) Sukhumvit Road Bangkok Tel ( ^



Www Koreascience Or Kr Article Jako Pdf



Typo A B C D E F G H I J K L M N O
Lecture Notes_Mass Transfer Coefficients_Scan_1pdf lvlqs< T^*tt^^fl,Vq P\\o b^,^7 X A c)r\\r!r'tl'Yt'oL Ur*J!U\"r ll\\g}s t*^1 lr olUY19 R Lecture Notes_Mass Transfer Coefficients_Scan_1pdf 1,786 Likes, 26 Comments L U K A C R U Y S B E R G H S (@lukaofficialmusic) on Instagram "Just some stuff i wanted to share 😚"In the figure on topright, eg {x} and {x, y, z} are comparable, while {x} and {y} are not A partial order under which every pair of elements is comparable is called a total order or linear order;



Http Www Cs Uleth Ca Forsyth Math00 Sol7 Pdf



In These Letters What Is The First Name Of Your Crush A B C D E F G H I J K L M N O P Q R S T U V W X Y Z Poster Jackie Keep Calm O Matic
Please be sure to answer the questionProvide details and share your research!A ` G C W O ʂɂ ꂽ H p Ղ Ǝg p A { f B ƃt F C X ̂ Ă ܂ B X ɃC Z s őS g ̔ 菜 A _ I ɂ R X ł B The mammalian inactive X chromosome (Xi) condenses into a bipartite structure with two superdomains of frequent longrange contacts, separated by a hinge region Using HiC in edited mouse cells with allelic deletions or inversions within the hinge, here we show that the conserved Dxz4 locus is necessary to maintain this bipartite structure



Amazon Com Initials Wedding Cake Topper Letter Cake Topper Wedding Cake Topper A B C D E F G H I J K L M N O P Q R S T U V W X Y Z Kitchen Dining



13 Let The Sets R B C D F G H J K L M Chegg Com
The Fokker CX was originally designed for the Royal Dutch East Indies Army, in order to replace the Fokker CV Like all Fokker aircraft of that time, it was of mixed construction, with wooden wing structures and a welded steel tube frame covered with aluminium plates at the front of the aircraft and with fabric at the rearC R I MI N A L R E C O R D E X P U N G E ME N T P R O J E C T R E F E R R A L L I S T a ) P h i l a d e l p h i a i ) P L S E ' s Cr i mi n a l Re c o r d E x p u n g e me n t P r o j e c t i i ) Co mmu n i ty L e g a l S e r v i c e s (CL S ) Center City 1424 Chestnut Street, Philadelphia, PAG Proof Since f(x) sup A fand g(x) sup A gfor every x2a;b, we have f(x) g(x) sup A f sup A g Thus, f gis bounded from above by sup A f sup A g, so sup A (f g) sup A f sup A g The proof for the in mum is analogous (or apply the result for the supremum to the functions f, g) We may have strict inequality in Proposition 115 because



Typo A B C D E F G H I J K L M N O P Q R S T U V W X Y Z 3d Neon Fonts Modern Alphabet



Let U Q R S T U V W X Y Z A Q S U W Chegg Com
Title Exsulite Course Outline Author Dulux AcraTex Keywords DADLburNN4I,BADKzEOH_ic Created Date 1/8/19 AMBut avoid Asking for help, clarification, or responding to other answers



Verizon 8 58 Pm 1 D Question 6 Of 10 Submit Determine The Number Of Molecules Of Cr2o3 That Form When 1 34 X 103 Homeworklib



Http Citeseerx Ist Psu Edu Viewdoc Download Doi 10 1 1 576 6723 Rep Rep1 Type Pdf



Feedback Control Systems Fcs Lecture16 17 18 Signal



Web Maths Unsw Edu Au Danielch Algebra07a Qinnotes Pdf



2 A Function F Is Given By The Formula F X 3x2 4x Chegg Com



Number And Letter 12 Inch Trays 0 2 3 4 5 6 8 9 A B C D E G H K M N O Q R S U V W X Z Harmony Boards



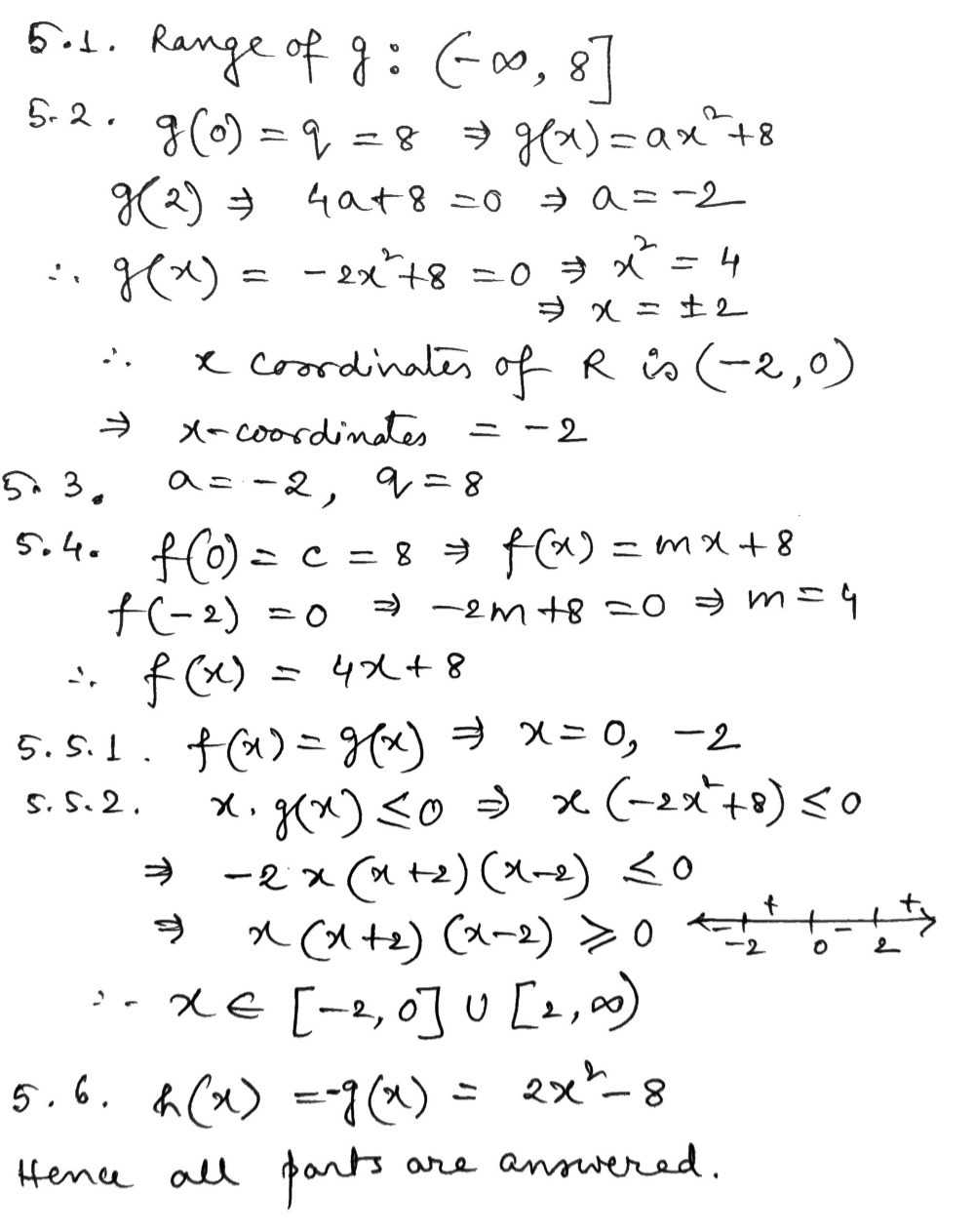
Dbe November 17 Question 5 The Diagram Shows The Gauthmath



Publishup Uni Potsdam De Files 4480 Local Pdf



Function Mathematics Wikipedia



Safety Profile Abecma Idecabtagene Vicleucel



Let F G R R Be The Functions Given By F X E X Chegg Com



If F R R Such That F X Ln X Sqrt X 2 1 Another Function



Math 150 A Review For The First Exam 1 If F X Sinx And G X



Renaissance Men Sa Style Nasty C Sports Puma S Latest Drop The Rs X Trophies



7 Let Mathrm F Mathrm R Rightarrow Mathrm R Mathrm G Mathrm R Rightarrow Mathrm R Mathrm



Amphipathic A Helical Antimicrobial Peptides Tossi 00 Peptide Science Wiley Online Library



Answered 6 3 4 3 Y G X T R 2 The Function Bartleby



Iv Cyclic Codes 29 Nov 3 Dec Ieee



4 16 Let F Be A Field And Let F X G X H Z E Chegg Com



Typo A B C D E F G H I J K L M N O



Alphabet Folded Paper Green Letters Roman Alphabet A B C D E F G H I J K L M N O P Q R S T U V W X



N O P Q Y B Z A R S H I J K L M T U V G F E W X D C According To Given Sequence What Will Come In Brainly In



Discrete Math Ii Howon Kim Ppt Download



Puma Rs X Toys Womens Pink Mesh Lace Up Sneakers Shoes



Consider F G And H Are Real Valued Functions Defined On R Let F



Eurobike 11 Road And Mountain Offerings From Rose Bikes Bikeradar



4 X S And O S Illustrations Clip Art Istock



Aquarius Acrylx Corner Bathtub 2 Seats 59 5 8 X 59 5 8 X 25 1 2 Center Drain G 6060 Rs



Jdm Honda Del Sol Cr X Crx Eg1 Eg2 A C Ac Heater Control Switch Oem For Sale Online Ebay



Typo A B C D E F G H I J K L M N O



Typo A B C D E F G H I J K L M N O



Http Www Nicolet K12 Wi Us Faculty Dgibbon Day 22 answer key Pdf



Number And Letter 12 Inch Trays 0 2 3 4 5 6 8 9 A B C D E G H K M N O Q R S U V W X Z Harmony Boards



Spectral Letters Folded Of Paper Roman Alphabet A B C D E F G H I J K L M N O P Q R S T U V W X



Consider The Following Sets S P Q R S T U Chegg Com



Puma Rs X Toys Running System White Black Blue Red Yellow Men Shoes 02



Function Mathematics Wikipedia



Franz Schubert Die Dokumente Seines Lebens Und Schaffens So O 3 9 Cs 1 S 3 O A C 5 235 Gt A N C Ja



Http Www Staff Science Uu Nl Ban Lecnotes Lie09opg Pdf



Www3 Nd Edu Ajorza Courses 14f M Notes Lecture29 Pdf



Let F X X 2 X In R For Any A Subseteq R Define G A



Consider F X X Sinx G X Cos 1 E X 4 2 And H X Tan 1 2x 1 X 2 Youtube



Find Fog And Gof If F X C C In R G X Sinx 2



Let F X X 2 And G X 2 X Then The Solution Set Of The Eq



Reconfigurable Cryptography A Flexible Approach To Long Term Security Springerlink



Ncert Exemplar Solutions For Class 12 Maths Chapter 1 Relations And Functions Avail Free Pdf



Gear X Honda K Series 1st 2nd Straight Cut Quarter Master



Www Jstor Org Stable



Google Pay India S Profit Surges 6 5x To Rs 33 Cr In Fy



Http Www Math Mcgill Ca Rags Jac 124 Pred Egs Pdf



Http Edshare Soton Ac Uk Id Document 7359



Faculty Math Illinois Edu Rtramel Math418spring17hw4 Pdf



Sing With Me A B C D E F G H I J K L M N O P Q R S T U V W X Y And Z Now I Know My Abc Alphabet Games Sing With Me Lettering



Puma Is Expanding Their Rs X Range With The Rs X Trophies Dropping Early February Yomzansi



Rd Sharma Solutions For Class 11 Chapter 3 Functions Exercise 3 4 Free Pdf



Table Of Indefinite Integrals 1 R Xdx



Ignition Model 1 18 Nissan Skyline 00 Rs X Turbo C R30 Silver Resin Model F S Ebay



Let F R Gt R Be Any Function Also G R Gt R Is Defined



Algebra Of Real Valued Functions Operations Examples Study Com



Rose 15 X Lite Team 800g Carbon Frame And New Disc Equipped Xeon Launched Road Cc



19 Rs X Youth World Championship At St Petersburg Russia Day 1



True False Problems



Salamence Gx Dragon Majesty Drm 44 Pkmncards Pokemon Cards Charizard Pokemon Cards Legendary Cool Pokemon Cards



Composite Functions Exist Or Not Youtube



Puma X Tetris Rs X Kids Shoes Size 12c Black W Luminous Blue For Sale Online Ebay



Sainsmart X Creality3d Cr 10 Mini 3d Printer Sainsmart Com



Only 2 Tasks A B C D E F G H I J K L M N O P Q R S T U V W X Y Z Ab Ac



Sat Mathematics Level 2 Practice Test Mymaxscore Com



Www Jstor Org Stable



Http Www2 Math Ou Edu Dmccullough Teaching S10 4853 Hw Soln5 Pdf



Example 4a 1 Solving Quadrati See How To Solve It At Qanda



25 Points Using Mason S Rule Find The Transfer Function T S C S R S For The System Represented Homeworklib


コメント
コメントを投稿